4. Algorithm for Isothermal Reactor Design*

Topics

Part 1: Mole Balances in Terms of Conversion
  1. Algorithm for Isothermal Reactor Design
  2. Applications/Examples of CRE Algorithm
  3. Reversible Reactions
  4. ODE (Polymath) Solutions to CRE Problems
  5. General Guidelines for California Problems
  6. PBR with Pressure Drop
  7. Engineering Analysis
Part 2: Measures Other Than Conversion
  1. Measures Other Than Conversion
  2. Membrane Reactors
  3. Semibatch Reactors

Part 1: Mole Balances in Terms of Conversion


Algorithm for Isothermal Reactor Design top

 

French Menu Analogy                                          

The reaction (2A+B-->C) carried out in a CSTR, PFR and a Batch Reactor.
Labratory Experiment
Semilog plot to find reaction rate constant


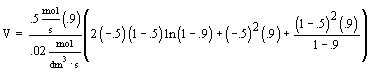
Example: The elementary liquid phase reaction

is carried out isothermally in a CSTR. Pure A enters at a volumetric flow rate of 25 dm3/s and at a concentration of 0.2 mol/dm3.

What CSTR volume is necessary to achieve a 90% conversion when k = 10 dm3/(mol*s)?

Mole Balance

Rate Law

Stoichiometry

liquid phase (v = vo)

                       

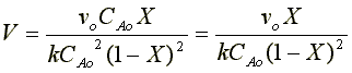
Combine

Evaluate

at X = 0.9,

V = 1125 dm3

Space Time


Here are some links to example problems. You could also use these problems as self tests.

Critical Thinking Questions for CSTR

The following movies were made by the students of Professor Alan Lane's chemical reaction engineering class at the University of Alabama Tuscaloosa


Applications/Examples of the CRE Algorithm top

Gas Phase Elementary Reaction Additional Information

only A fed

P0 = 8.2 atm

T0 = 500 K

CA0 = 0.2 mol/dm3

k = 0.5 dm3/mol-s

vo = 2.5 dm3/s


Solve for X = 0.9

Applying the algorithm to the above reaction occurring in a Batch, CSTR, and PFR.

  Batch CSTR PFR
Mole Balance:
Rate Law:
Stoichiometry:

Gas: V = V0
(e.g., constant volume steel container)

Gas: T =T0, P =P0

Gas: T = T0, P = P0

   

Per Mole of A:

Per Mole of A:

 
 
 
 
Combine:
Integrate  
Evaluate



For X = 0.9:

V = 680.6 dm3

V = 90.7 dm3

 

Gas Phase Reaction Example
Calculate V for a Zero-Order Reaction

Reversible Reactions top

To determine the conversion or reactor volume for reversible reactions, one must first calculate the maximum conversion that can be achieved at the isothermal reaction temperature, which is the equilibrium conversion. (See Example 3-8 in the text for additional coverage of equilibrium conversion in isothermal reactor design.)

Equilibrium Conversion, Xe

From Appendix C:

Calculate Equilibrium Conversion (Xe) for a Constant Volume System

Example: Determine Xe for a PFR with no pressure drop, P = P0

Given that the system is gas phase and isothermal, determine the reactor volume when X = 0.8 Xe.

Reaction Additional Information

CA0 = 0.2 mol/dm3
KC = 100 dm3/mol

k = 2 dm3/mol-min
FA0 = 5 mol/min

First calculate Xe:


Xe = 0.89

X = 0.8Xe = 0.711

One could then use Polymath to determine the volume of the PFR. The corresponding Polymath program is shown below.


ODE (Polymath) Solutions to CRE Problems top

Algorithm Steps Polymath Equations
Mole Balance d(X)/d(V) = -rA/FA0
Rate Law rA = -k*((CA**2)-(CB/KC))
Stoichiometry CA = (CA0*(1-X))/(1+eps*X)
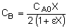
  CB = (CA0*X)/(2*(1+eps*X))
Parameter Evaluation eps = -0.5 CA0 = 0.2 k = 2
  FA0 = 5 KC = 100  
Initial and Final Values X0 = 0 V0 = 0 Vf = 500
Polymath Screen Shots
Equations

Plot of X vs. V

Results in Tabular Form

A volume of 94 dm3 (rounding up from slightly more than 93 dm3) appears to be our answer.


Batch Reactor With a Reversible Reaction

General Guidelines for California Problems top

Every state has an examination engineers must pass to become a registered professional engineer.  In the past there have typically been six problems in a three hour segment of the California Professional Engineers Exam. Consequently one should be able to work each problem in 30 minutes or less. Many of these problems involve an intermediate calculation to determine the final answer.

Some Hints:

  1. group unknown parameters/values on the same side of the equation
     
    example:
    [unknowns] = [knowns]
  2. look for a Case 1 and a Case 2 (usually two data points) to make intermediate calculations
  3. take ratios of Case 1 and Case 2 to cancel as many unknowns as possible

  4. carry all symbols to the end of the manipulation before evaluating, UNLESS THEY ARE ZERO
Batch Reactor Optimization

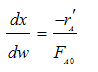
PBR with Pressure Drop top

Note: Pressure drop does NOT affect liquid phase reactions

Sample Question:

Analyze the following second order gas phase reaction that occurs isothermally in a PBR: 

                                                               
Mole Balance

    

Must use the differential form of the mole balance to separate variables

Rate Law

Second order in A and irreversible:

Stoichiometry
  

Isothermal, T = T0


Combine
                   


Need to find (P/P0) as a function of W (or V if you have a PFR).

Pressure Drop in Packed Bed Reactors

Ergun Equation

Variable Gas Density

           

let

Catalyst Weight

where

let

then

English-

 Espanol-

 Svenska-

We will use this form for multiple reactions:

                 

We will use this form for single reactions:

Isothermal Operation

recall that

notice that

The two expressions are coupled ordinary differential equations. We can solve them simultaneously using an ODE solver such as Polymath. For the special case of isothermal operation and epsilon = 0, we can obtain an analytical solution.

Polymath will combine the mole balance, rate law and stoichiometry.



Analytical Solution, [e], PFR with

          

CAUTION: Never use this form if

Combine

Solve

Could now solve for X given W, or for W given X.

For gas phase reactions, as the pressure drop increases, the concentration decreases, resulting in a decreased rate of reaction, hence a lower conversion when compared to a reactor without a pressure drop. 

 

 
Pressure Drop in a Packed Bed Reactor
Pressure and Reaction Orders
Formation of Ethyl Acetate

Here are some links to example problems dealing with packed bed reactors. You could also use these problems as self tests.



POLYMATH

Consider the following gas phase reaction carried out isothermally in a packed bed reactor. Pure A is fed at a rate of 2.5 moles/s and with, and α = 0.0002 kg-1.

2AB

Mole Balance

Rate Law

        Elementary

Stoichiometry

       Gas with T = T0

      AB/2

      

POLYMATH will combine everything - You do not need the combine step. Thank you POLYMATH

 

 

Profiles

"What Four Things are Wrong with this Solution?"

Optimum Paritcle Diameter

Laminar Flow, Fix P0, ρ0,

ρ0 = P0(MW)/RT0

ρ0P0∼P02

Increasing the particle diameter descreases the pressure drop and increases the rate and conversion.

However, there is a competing effect. The specific reaction rate decreases as the particle size increases, therefore so deos the conversion.

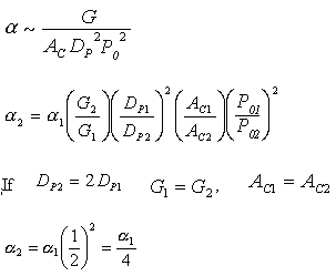
k ∼ 1/Dp

DP1 > DP2
k1 > k2

Higher k, higher conversion

The larger the particle, the more time it takes the reactant to get in and out of the catalyst particle. For a given catalyst weight, there is a greater external surgace area for smaller particles than larger particles. Therefore, there are more entry ways into the catalyst particle.

In CD-ROM chapter 12, we will learn that effectiveness factor decreases as the particle size increases  

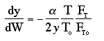
Engineering Analysis - Critical Thinking and Creative Thinking top

We want to learn how the various parameters (particle diameter, porosity, etc.) affect the pressure drop and hence conversion. We need to know how to respond to "What if" questions, such as:

"If we double the particle size, decrease the porosity by a factor of 3, and double the pipe size, what will happen to D P and X?"

(See Critical Thinking in Preface page xx.  e.g., Questions the probe consenquences)

To answer these questions we need to see how a varies with these parameters. 

Turbulent Flow                                    

        

 

Compare Case 1 and Case 2:

For example, Case 1 might be our current situation and Case 2 might be the parameters we want to change to.

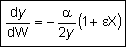
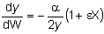
For constant mass flow through the system= constant

 

Laminar Flow

Effect of Reducing Particle Size on Conversion in a PBR

Here are more links to example problems dealing with packed bed reactors. Again, you could also use these problems as self tests.


Part 2: Measures Other Than Conversion


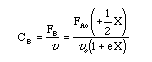
Measures Other Than Conversion top

Uses:    

A. Membrane reactors
B. Multiple reaction

Liquids: Use concentrations, I.E. CA

                                                                      

1. For the elementary liquid phase reaction carried out in a CSTR, where V, vo, CAo, k, and Kc are given and the feed is pure A, the combined mole balance, rate laws, and stoichiometry are:

There are two equations, two unknowns, CA and CB

Gases: Use Molar Flow Rates, I.E. FI

                                                                

                                                         

                                          

2. If the above reaction, ,carried out in the gas phase in a PFR, where V, vo,CAo,k, and Kc are given and the feed is pure A, the combined mole balance, rate laws, and stoichiometry yield, for isothermal operation (T=To) and no pressure drop (DP=0) are:

  

Use Polymath to plot FA and FB down the length of the reactor.

Stoichiometry for Measures Other than Conversion
Gas Phase PFR
Liquid Phase CSTR
Use Creative and then Critical Thinking
What Four Things are Wrong With this solution?

Microreactors

For isothermal microreactors, we use the same equations as a PFR as long as the flow is not laminar. If the flow is laminar, we must use the techniques discussed in chapter 13. See example 4.8 of the text.

University of Washington Transport Effects in Microreactors site

Institut für Mikrotechnik Mainz GmbH

Membrane Reactors top

Membrane reactors can be used to achieve conversions greater than the original equilibrium value. These higher conversions are the result of Le Chatelier's Principle; you can remove one of the reaction products and drive the reaction to the right. To accomplish this, a membrane that is permeable to that reaction product, but is impermeable to all other species, is placed around the reacting mixture.

Example: The following reaction is to be carried out isothermally in a membrane reactor with no pressure drop. The membrane is permeable to Product C, but it is impermeable to all other species.

For membrane reactors, we cannot use conversion. We have to work in terms of the molar flow rates FA, FB, FC.               

Polymath Program

Mole Balances

Rate Laws

   
   

Stoichiometry
Isothermal, no pressure drop


Combine

Polymath will combine for you-- Thanks Polymath...you rock!

Parameters

Solve

Polymath

"What four things are wrong with this membrane reactor solution?"

Here are links to example problems dealing with membrane reactors. You could also use these problems as self tests.

Semibatch Reactors p. 190 top

Semibatch reactors can be very effective in maximizing selectivity in liquid phase reactions.

to Selectivity

The reactant that starts in the reactor is always the limiting reactant.

Three Forms of the Mole Balance Applied to Semibatch Reactors:

1. Molar Basis
2. Concentration Basis
3. Conversion



For constant molar feed:
For constant density:  
 
   

Use the algorithm to solve the remainder of the problem.


Example: Elementary Irreversible Reaction

Consider the following irreversible elementary reaction:

-rA = kCACB

The combined mole balance, rate law, and stoichiometry may be written in terms of number of moles, conversion, and/or concentration:

Conversion Concentration Number of Moles
 

Polymath Equations:

Conversion Concentration Moles

d(X)/d(t) = -ra*V/Nao

d(Ca)/d(t) = ra - (Ca*vo)/V

d(Na)/d(t) = ra*V

ra = -k*Ca*Cb

d(Cb)/d(t) = rb + ((Cbo-Cb)*vo)/V

d(Nb)/d(t) = rb*V + Fbo

Ca = Nao*(1 - X)/V

ra = -k*Ca*Cb

ra = -k*Ca*Cb

Cb = (Nbi + Fbo*t - Nao*X)/V

rb = ra

rb = ra

V = Vo + vo*t

V = Vo + vo*t

V = Vo + vo*t

Vo = 100

Vo = 100

Vo = 100

vo = 2

vo = 2

vo = 2

Nao = 100

Fbo = 5

Fbo = 5

Fbo = 5

Nao = 100

Ca = Na/V

Nbi = 0

Cbo = Fbo/vo

Cb = Nb/V

k = 0.1

k = 0.01

k = 0.01

 

Na = Ca*V

 
 

X = (Nao-Na)/Nao

 

Polymath Screenshots:

Conversion Concentration

Polymath Equations

Polymath Equations

SummaryTable

Summary Table

Conversion vs.Time

Conversion vs.Time

Concentration vs.Time

Concentration vs.Time

Volume vs.Time

Volume vs.Time

Critical Thinking Questions

Equilibrium Conversion in Semibatch Reactors with Reversible Reactions

Consider the following reversible reaction:

Everything is the same as for the irreversible case, except for the rate law:

Where:

At equilibrium, -rA=0, then



Semibatch:  A → B Acid Catalyzed

See Also: 

Web Module on Reactive Distillation

Web Module on Wetlands

You Rate Some Wetlands Critical Thinking Questions

Object Assessment of Chapter 4
 

* All chapter references are for the 4th Edition of the text Elements of Chemical Reaction Engineering .

top