Chapter 4

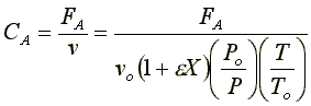
Derivation for Gas Phase Reaction:



Back to Chapter 4