Chapter 4

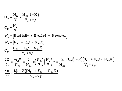
Derivation for Constant Density:

 

Back to Chapter 4