Chapter 4 Example

Batch Reactor With a Reversible Reaction

The following reaction follows an elementary rate law

Initially 77% N2, 15% O2, 8% inerts are fed to a batch reactor where 80% of the equilibrium conversion (Xe = 0.02) is reached in 151 s. What is the specific reaction rate constant k1?

Additional Information






Solution

For 80% of equilibrium conversion X = 0.8 Xe = 0.016

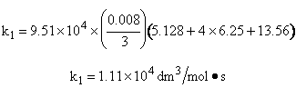
Use Simpson's three point formula to integrate with ΔX = 0.016/2 = 0.008

Simpson's rule: (ΔX = h = 0.008)




Back to Chapter 4