Professional Reference Shelf

R8.1-A Runaway Reactions in CSTRs*

We are going to consider a CSTR which has a runaway reaction when it goes to the upper steady state which is at an unacceptably high temperature, such as the propylene glycol reaction discussed in Example 8-5 in the text. This transition to the upper steady state will occur when the point of tangency between R(T) and G(T) disappears and only the upper steady state exists.

(8-60)


(8-59)

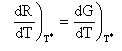
At the point of tangency T = T*,

and the slopes are also equal.

For a zero order reaction

(1)

For a first order reaction

 

For a zero order reaction

(2)



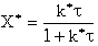
(3)

This equation is Eqn. (8-77) on p.498 of the text. Solving for T*

(4)
               

If the point of tangency will disappear and the system will be considered unstable because it moves to the upper steady state. We refer to this movement to the upper steady state as runaway. Combining the Eqn. directly below (8-74) and Eqn. (8-75) in the text.

 

Suppose the heat exchange term UA is decreased. As a result k will decrease and we will no longer have a point of tangency and as a result the CSTR will runaway to the upper steady state.


As a result, this decrease in k will cause and we have a runaway. Runaway will not occur however if

We are now going to calculate S* as a function of one parameter, say TC. Therefore fix the other parameters E, A,

 

Procedure:

  1. Specify TC and τ
  2. For zero order reaction

    For first order reaction, use a non-linear equation solver to solve for T* . Given A, E, TC , and τ
  3. Calculate k*
  4. Calculate X
    For a zero order reaction

    For a first order reaction
  5. Calculate
  6. Calculate S*
    For a zero order reaction

    For a first order reaction
  7. Increment TC and carry out steps 2 through 6 to arrive at the following figures of S* as a function of TC

 

If, for example, then to the right of TC1, and the reactor is stable, so we can increase either To or Ta in this region up to TC1

if we decrease to say , then we see we have a narrower operating range over which To and Ta may by increased.

Consequently the line S* divides the place into regions for values of that will be either stable or unstable for a given Tc. Similarly, for a fixed TC1 the region of stability is

Recall , so we can change the region by changing the amount of inerts.

CSTR Runaway For Zero and First Order Reactions

* All chapter references are for the 4th Edition of the text Elements of Chemical Reaction Engineering.

Back to Top

Back to the Professional Reference Shelf.