Runaway Reactions
Derivation
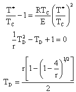
Put in dimensionless (T
D
) form by letting
Dividing by T
C
Back to Runaway Reactions in CSTRs