Runaway Reactions

Derivation

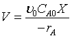
From the CSTR mole balance

we have

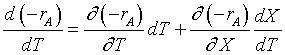
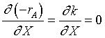
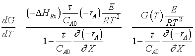
Differentiating

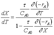
Rearranging

For zero order reaction

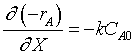
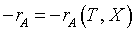
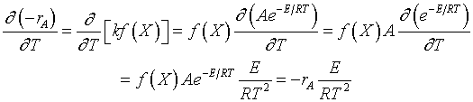
For a first order reaction

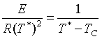
Let’s return to the case of a zero order reaction
At the point of tangency T*

Q.E.D.

 

Back to Runaway Reactions in CSTRs