On The Maxwell-Bloch System In The Sharp-Line Limit Without Solitons
Sitai Li and Peter D. Miller
Department of Mathematics, University of Michigan, Ann Arbor
Abstract:
We study the (characteristic) Cauchy problem for the Maxwell-Bloch equations of light-matter interaction via asymptotics, under assumptions that prevent the generation of solitons. Our analysis clarifies some features of the sense in which physically-motivated initial/boundary conditions are satisfied. In particular, we present a proper Riemann-Hilbert problem that generates the unique causal solution to the Cauchy problem, that is, the solution vanishes outside of the light cone. Inside the light cone, we relate the leading-order asymptotics to self-similar solutions that satisfy a system of ordinary differential equations related to the Painlevé-III (PIII) equation. We identify these solutions and show that they are related to a family of PIII solutions recently discovered in connection with several limiting processes involving the focusing nonlinear Schrödinger equation. We fully explain a resulting boundary layer phenomenon in which, even for smooth initial data (an incident pulse), the solution makes a sudden transition over an infinitesimally small propagation distance. At a formal level, this phenomenon has been described by other authors in terms of the PIII self-similar solutions. We make this observation precise and for the first time we relate the PIII self-similar solutions to the Cauchy problem. Our analysis of the asymptotic behavior satisfied by the optical field and medium density matrix reveals slow decay of the optical field in one direction that is actually inconsistent with the simplest version of scattering theory. Our results identify a precise generic condition on an optical pulse incident on an initially-unstable medium sufficient for the pulse to stimulate the decay of the medium to its stable state.


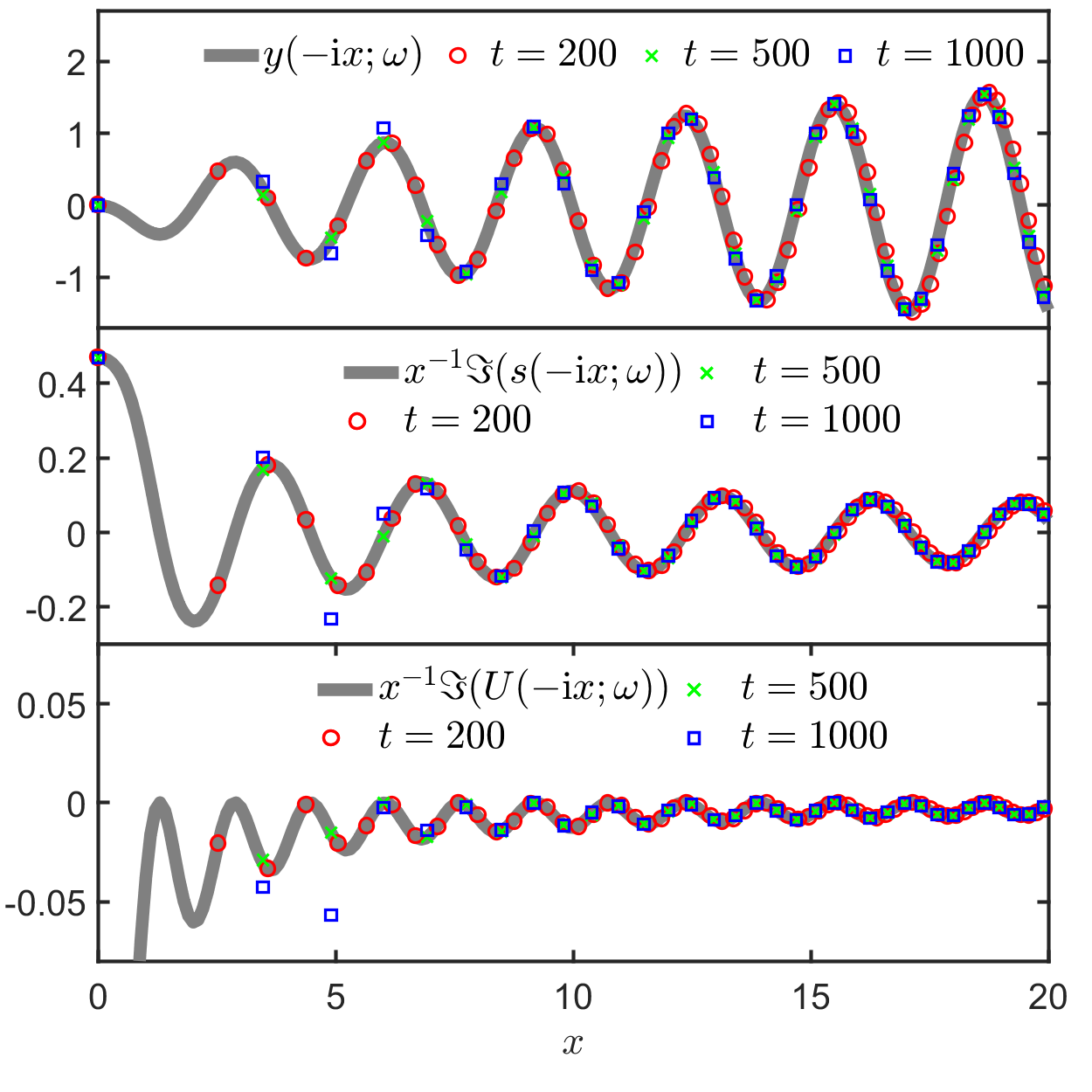
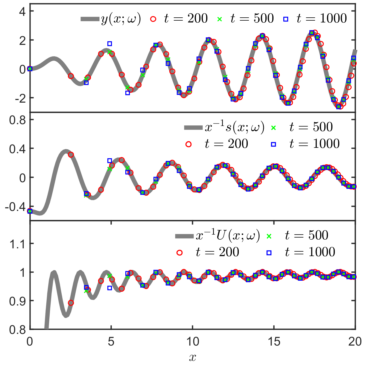
Comparison of large-time behavior of the causal solution of the Cauchy problem for a complex-valued pulse incident on a stable (left) and unstable (right) medium with limiting self-similar solutions of the Painlevé-III system.