Example

A cylinder, which for now can be viewed as a perfect infinite cylinder is being heated up in a oven. Find the temperature after ten minutes at a depth of half the cylinders radius.
Given facts:
r = 870 kg / m3
k = 1,00 W / m,K
h = 50 W / m2,K
CP = 3000 J / kg,K
r = 0.01 m
T0, initial temperature of the cylinder = 300 K
T1, oven temperature = 1000 K
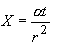
Calculate a using :

a = 3.83*10-7
Calculate X using :

X = 2.3 (B)
Calculate n using :

n = 0.50
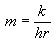
Calculate m using :

m = 2.00
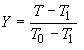
Now using the chart on the previous page Y is found to be 0.017 (A)
Using

the temperature is calculated to be 988 K.
