Click for Site Map and Index

HOMETen Types of Home Problems

Homogeneous Examples

 

Type 3 Home Problem
Problems that are over-specified.

To derive the CSTR design equation, we begin with the general mole balance:

 

 

Assuming that the tank is well-mixed and the reaction rate is constant throughout the reactor, the mole balance can be written:

 

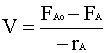
This equation can then be rearranged to find the volume of the CSTR based on the flow rates and the reaction rate:

 

From the definition of conversion, FA = FAo(1-X) or FAo - FA = FAoX, so the equation can be rewritten:

 

Back to the Solution


CRE Thoughts Ten Types Homogeneous Example 3