Chapter 11

Self Test 11.3: What 4 things are wrong with this solution?

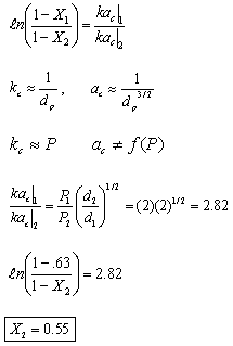
Problem

The isomeriation A -> B follows an elementary rate law and is carried out in a packed bed reactor where 63.2% conversion is achieved. What would be the conversion if the particle size were doubled and the entering pressure is doubled, but there is no pressure drop?




Solution

For Case 1 and Case 2:

Go to Answer



















































  Answer

You'll have to figure this one out on your own!

Back to Chapter 11