The following is an E curve calculated for reactor Y

(a)What is the maximum value of E shown on this curve? View Sol'n
(b)What fraction of the molecules spend between 2 and 2.5 minutes in the reactor? View Sol'n
(c)What fraction spend between 3.5 and 4 View Sol'n
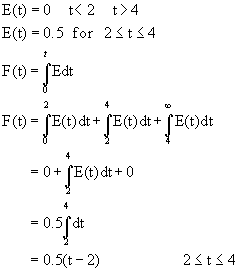
(d)Which curve below corresponds to F(t)? View Sol'n



Solution:
Area = (.5) (2.5–2) = 0.25
25% of the molecules spend between 2 and 2.5 minutes in the reactor.
Area = (.5) (4–3.5) = 0.25
25% of the molecules spend between 3.5 and 4 minutes in the reactor.