Chapter 4 Self Test

What Four Things are Wrong with this Solution?

Problem

The elementary gas phase reaction A + 2B --> C is carried out in a packed bed reactor. Calculate the exit conversion from a PBR packed with 800 kg of catalyst. The feed is stoichiometric.

Additional Information

            

Solution

Answer


 

 

 

 

 

 
  Answer

1) The rate law is incorrect. It should be:

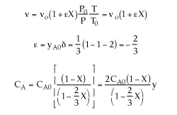
2) The concentrations are incorrect, the feed is stoichiometric.

Therefore:

3) The volume change was not included.

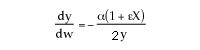
4) The equation for y is incorrect. There is volume change and can only be used when . Therefore, the form of the momentum balance that must be used is

Corrected Solution

Back to Chapter 4