Chapter 4 Self Test

Effect of Reducing Particle Size on Conversion in a PBR

Currently the gas phase reaction

is carried out in a packed bed reactor. For an entering pressure of 20 atm, a pressure drop of 4 atm is realized for 100 kg of catalyst. What pressure drop would be realized if the particle size is reduced by a factor of 4 and the catalyst weight charged to 15 kg. The flow is laminar.

 

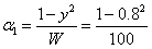
Hint 1: What is the pressure drop parameter alpha?

Solution

 

 

Hint 1

For Laminar flow:



Back to Problem

 

 

 

 

 

 

 

 

 

 

 

 

 

 

 

 

 

 

 

 

 

Start with the differential equation and realize that epsilon is zero because the same number of moles are formed as are reacted.





Now integrate both sides and evaluate the constant. Remember that at W = 0, P = P0.









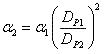
Now we can evaluate 1 and 2.








Back to Chapter 4