The elementary isomerization
A --> B
is carried out at 20 atm in a fluidized CSTR containing 100 kg of catalyst where 50% conversion is achieved
It is proposed to replace the CSTR with a packed bed reactor
The entering pressure was 20 atm and the exit pressure was found to be 10 atm.
Hint 1. What information can you obtain from the CSTR?
Hint 2. How do you calculate the pressure drop parameter?
Why does the X-dp curve look the way it does?
CSTR
Solving for FA0/(kCA0)
kg
PFR
For no pressure drop P=P0 and y = 1
 
Integrating with W = 0: X=0
d = 0
M.B.
R.L.
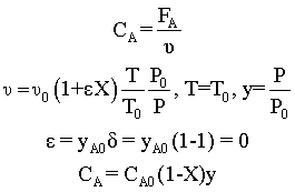
Stoichiometry
Combine
For ε = 0; y = (1-αW)1/2
Seperating Variables
Integrating
we note
Compared with ΔP = 0 where X = 0.632
Back to problem statement
A plot of conversion vs. particle diameter is as follows
c) As the particle diameter decreases, the pressure drop increases, so the concentration decreases as does the reaction rate. Consequently when the reaction rate is small the conversion will be small. As the particle size increases the pressure drop decreases and conversion increases. As the particle size increases the pressure drop decreases and the concentration increases. however, for large particles, it takes a long time for the reactants to diffuse in and out of the catalyst particle. (I.e. -rA ∼ 1/dp therefore k ∼ 1/dp, see p.829, last equation on the page where R = dp/2 .)
d) You would like to have the biggest pipe diameter possible because the bigger the pipe diameter, the less the pressure drop, and thus the conversion.