|
|
Type 4 Home Problem
Problems that are under-specified and require the student to consult other information
sources.
PART 1 - Type 4 Solution
Our first task is to compile our simultaneous equations that will be used in Polymath. The membrane reactor functions like a PFR, so we start with the PFR design equation.

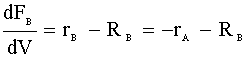
We then make differential equations for each of our products:


RB is the rate of hydrogen (B) removal through the membrane. It is directly proportional to the concentration of B (CB):
![]()
Next we insert our rate law:

The concentration is the molar flow rate divided by the volumetric flow rate. They are written as follows:

We also need to solve for the volumetric flow rate (v):

We can calculate the initial volumetric flow rate (vo):

At this point, we still have two unknowns, the equilibrium constant (KC) and the diffusion rate constant (kB). We will need to determine these constants before the problem can be solved. Solving for these constants will require us to use resources beyond our text book.
Go to PART 2 of the Solution
Back to Homogeneous Example 4
CRE Thoughts Ten Types Homogeneous Example 4