Click for Site Map and Index  HOME  Ten Types of Home Problems 
Heterogeneous Examples 

Starting with the catalyst differential PFR equation:

 
Similar balances on components B and C give :
 

 

     

 

     

 
 
RB is the rate at which B passes through the membrane. It is based on the concentration of B and a mass transfer coefficient :

 

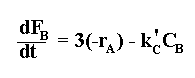
Plugging this back into the differential equation for B gives :
 

 

Back to problem statement Part 2 of solution


CRE > Thoughts > Ten Types > Heterogeneous Example 4