Lecture 8
TODAY’S LECTURE
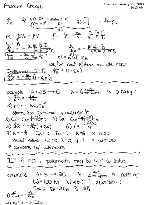
Pressure Drop:
- Liquid Phase Reactions: Pressure Drop Does Not Effect the
Concentrations in Liquid Phase Rxns
- Gas Phase Reactions.
- Epsilon not Equal to Zero
d(P)/d(W)=..
Polymath will combine with d(X)/f(W)=..for you
- Epsilon = 0 and Isothermal
P=f(W)
Combine then Separate Variables (X,W) and Integrate
- Gas Phase Reaction. PBR Example 1: Polymath Solution
A + 2B → C
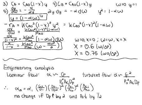
- Gas Phase Reaction. PBR Example 2: Analytical Solution
A + B → C + D










Go Back