Lecture 6
TODAY’S LECTURE
- Block 1: Mole Balances
- Block 2: Rate Laws
- Block 3: Stoichiometry
- Block 4: Combine
Examples
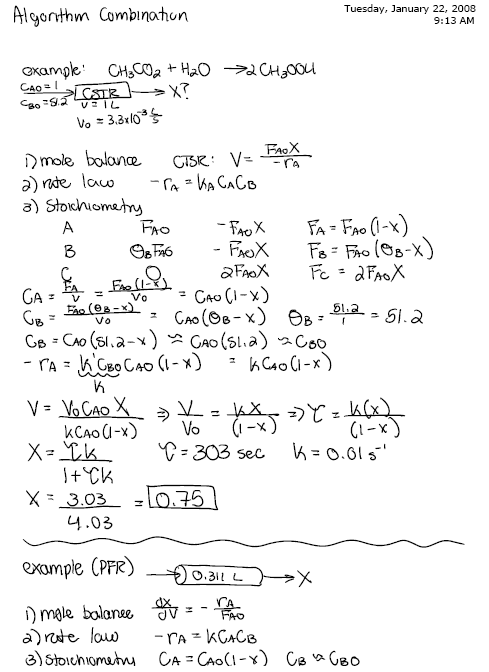
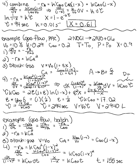
- Liquid Phase ChE 460 Experiment : CSTR and PFR Calculation
(CH2CO)2O + H2O → 2CH3COOH
A + B → 2C
- Gas Phase : PFR and Batch Calculation
2NOCl → 2NO + Cl2
2A → 2B + C










Go Back