Lecture 5
TODAY’S LECTURE
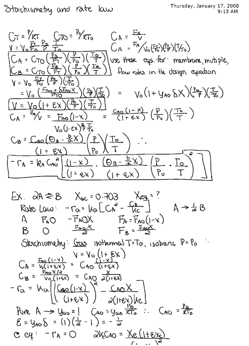
- Stoichiometry
- Stoichiometric Table: Flow
- Definitions of Concentration: Flow
- Gas Phase Volumetric Flow rate
- Calculate the Equilibirum Conversion Xe

Two steps to get -rA=f(X)
Step 1: Rate Law
-rA=g(Ci)
Step 2: Stoichiometry
(Ci)=h(X)
Step 3: Combine to get
-rA=f(X)
















Go Back