Lecture 4
TODAY’S LECTURE
- Block 1: Mole Balances
- Size CSTRs and PFRs given –rA=f(X)
- Block 2: Rate Laws
- Reaction Orders
- Arrhenius Equation
- Block 3: Stoichiometry
- Stoichiometric Table
- Definitions of Concentration
- Calculate the Equilibrium Conversion, Xe

Levenspiel Plot

PFR



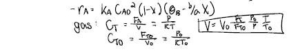
Steps to get -rA
- Rate Law
-rA=g(Ci)
- Stoichiometry
(Ci)=h(X)
- Combine to get
-rA










Go Back