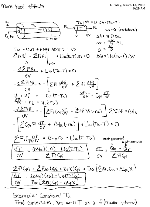
Lecture 18

Go Back