What Four Things are Wrong with this Solution?AnswerProblem
The elementary gas phase reaction A + 2B --> C is carried out in a packed bed reactor. Calculate the exit conversion from a PBR packed with 800 kg of catalyst. The feed is stoichiometric.
Additional Information
![]()
Solution
Answer
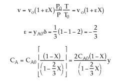
1) The rate law is incorrect. It should be:2) The concentrations are incorrect, the feed is stoichiometric.
3) The volume change was not included.
4) The equation for y is incorrect. There is volume change and
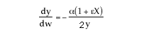
can only be used when
. Therefore, the form of the momentum balance that must be used is
Corrected Solution


Back to Pressure Drop in Reactors