A. Which of the following reaction orders is most affected by presure drop?Solution Aa) zero order
b) first order
c) third order
d) out of order
B. For negative reaction orders (e.g.n=-1), pressure drop will:Solution Ba) increase the conversion
b) decrease the conversion
c) not affect the conversion
d) produce negative conversion
over and above what it would be if there were no pressure drop.
|
|
A. Which of the following reaction orders is most affected by presure drop?a) zero order
b) first order
c) third order
d) out of order
| (A) | zero order | ![]() |
| (B) | first order | ![]() |
![]() |
||
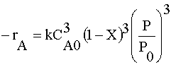
| (C) | third order | ![]() |
![]() |
||
| Answer (C) | ||
Back to Pressure Drop in Reactors
|
|
B. For negative reaction orders (e.g.n=-1), pressure drop will:a) increase the conversion
b) decrease the conversion
c) not affect the conversion
d) produce negative conversion
over and above what it would be if there were no pressure drop.
![]() |
![]() |
| As the pressure decreases, the rate increases over that which it would be without the pressure drop. Consequently the conversion will increase over that which it would be without the pressure drop. Ans. (a). |
Back to Pressure Drop in Reactors