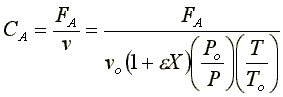
Gas Phase Reaction:


Return to Pressure Drop in Reactors