Multiple Reactions- Liquid Phase
Multiple Reactions- Liquid Phase


(1) NOTE: The specific reaction rate k1A is
defined with respect to species A.
(2) NOTE: The specific reaction rate k2C is
defined with respect to species C.

 

CASE 1: PFR

Mole Balances A:
B:
C:
D:
Rate Laws (Rxn i)
Species A
For reaction (2):
Species B
Species C
Species D

Writing Net Rates of Formation

Stoichiometry

 
Combine
Species A
Species B
Species C
Species D
Evaluate Using Polymath


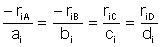
CASE 2: CSTR

Species A
Species B
Species C
Species D       wav mp3

We will specify V, CAo, Cbo along with the specific reaction rates kij.

This formulation leaves us with four equations and four unknowns (CA, CB, CC, and CD).

Use Polymath's nonlinear equation solver. Put the combined mole balance and rate laws in the following form


CASE 3: Semibatch



Species A
Species B
Species C
Species D
Evaluate Using Polymath
Parameters
Initial Conditions



Go Back