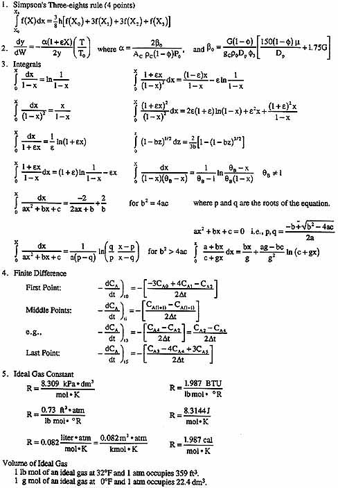
ChE 344: Exam I Crib Sheet