Chapter 16: Distributions of Residence Times for Chemical Reactors
Topics
| Residence Time Distribution | top |
We shall use the RTD to characterize existing (i.e. real) reactors and then use it to predict exit conversions and concentrations when reactions occur in these reactors.
Inject a tracer and measure exit concentration, CT(t).
From the exit tracer concentration we can determine the following information:
A. RTD (Residence Time Distribution) Function (E(t))
= Fraction of molecules exiting the reactor that have
spent a time between (t) and
(t + dt) in the reactor.
B. The Cumulative Distribution Function F(t)
= Fraction of molecules exiting the reactor that have
spent a time t or less in the reactor.
= Fraction of molecules that have spent a time t or
greater in the reactor.
C. Definitions
1. Mean Residence Time
2. Variance
3. Space Time - For no dispersion/diffusion and v = v0, the space time equals the mean residence time.
4. Internal Age Distribution,
= Fraction of molecules inside the reactor that have
been inside the reactor between a time
and
.
5. Life Expectancy
= Fraction of molecules inside the reactor with age
that are expected to leave the reactor in a time
to
.
From our experimental data of the exit tracer concentration from pulse trace test
|
t(min) |
: |
0 |
1 |
2 |
3 |
4 |
5 |
6 |
|
C(mg/m3) |
: |
0 |
0 |
0.1 |
0.2 |
0.3 |
0.1 |
0 |
We can obtain
->
->
->
->
| RTD for Ideal Reactors | top |
for Ideal Reactors
|
||
| PFR- Inject a pulse at t=0 |
|
|
Dirac Delta Function
|
||
| CSTR |
|
|
|
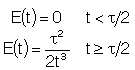
| Laminar (LFR) |
|
|
|
| RTD to Diagnose Faulty Operation | top |
Experimentally injecting and measureing the tracer in a laminar flow reactor can be a difficult task, if not a nightmare. For example, if one uses tracer chemicals that are photo-activated as they enter the reactor, the analysis and interpretation of E(t) from the data becomes much more involved.
Diagnostics and Troubleshooting

The CSTR
| Concentration | ![]() |
||
| RTD Function | ![]() |
||
| Cumulative Function | ![]() |
||
| Space Time | ![]() |
a. Perfect Operation

b. Passing (BP)

c. Dead Volume

A summary for ideal CSTR mixing volume is shown in Figure 13-14

Tubular Reactor
A similar analysis to that for a CSTR can be carried out on a tubular reactor.
a. Perfect Operation of PFR (P)

b. PFR with Channeling (Bypassing, BP)

c. PFR with Dead Volume (DV)

A summary for PRF is shown in Figure 13-18

In addition to its use in diagnosis, the RTD can be used to predict conversion in existing reactors when a new reaction is tried in an old reactor. However, the RTD is not unique for a given system, and we need to develop models for the RTD to predict conversion.
* All chapter references are for the 4th Edition of the text Elements of Chemical Reaction Engineering .

for Ideal Reactors




