Chapter 12: Steady-State Nonisothermal Reactor Design: Flow Reactors with Heat Exchange
Frequently Asked Questions (FAQs)
- For a CSTR ? when determining whether the Q in the energy balance
							can be reduced to  Q = UA(Ta - T) what would be considered
							a high coolant flow rate or low UA (range)?
						One must take ratio of the two! Usually when (UA/mCP) < 0.1, you can expand exponents in a Taylor series to get Q = UA(Ta - T). 
- For an exothermic reaction with cooling, does the T vs. W graph asymptote
							at the heat exchange fluid temperature?
						Good point!! Yes it does.   
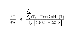
- If dT/dW in PFR energy balance = 0, does it become the energy balance
							in CSTR?
						No! The term dT/dW will only equal zero if there is a maximum in the temperature down the length (i.e. W) of the packed bed. For a single reaction, the maximum will only occur if the reaction is exothermic and there is heat exchange.   then   
 
- Why does the curve of G(T) vs. T have a steeper slope for reactions
							with lower energy of activation?
						A lower activation energy means the reaction is less temperature sensitive. The G(t) curve also depends on t. 
- Calculations in Ch.12 for ignition and extinction temperatures neglect
							shaft work. How does this approximation affect the results?
						It simply shifts the R(t) curve. It is easily included in the heat removed term 