|
|
Type 1 Home Problem -- Solution
Problems with a straight-forward calculation.
The design equation for a CSTR is:

Because the reaction is elementary, the combined mole balance and rate law becomes:
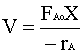
From stoichiometry, this equation becomes:

Solving for X, we get the following equation:

then we substitute numerical values for our variables and calculate a conversion of:

Back to Homogeneous Example 1
CRE Thoughts Ten Types Homogeneous Example 1