Click for Site Map and Index HOME CEP ALGORITHM CRE
PFR/CSTR Example

Example Algorithm for Steps in Solving Closed-Ended Problems

  1. Statement

    The elementary, liquid-phase, irreversible reaction

    A + B yields C

    is to be carried out in a flow reactor. Two reactors are available, an 800 dm3 PFR that can only be operated at 300 K and a 200 dm3 CSTR that can be operated at 350 K. The two feed streams to the reactor mix to form a single fee d stream that is equal molar in A and B, with a total volumetric flowrate of 10 dm3/min. Which of the two reactors will give us the highest conversion?

    Additional Information: at 300 K, k = 0.07 dm3/mol-min
    E = 85000 J/mol-K
    CA0B = CB0B = 2 mol/dm 3
    vA0 = vB0 = 0.5*v0 = 5 dm3/min
  2. Real Problem

    We have two choices, a PFR operated at 300 K and a CSTR operated at 350 K. Which one do we choose?


  3. Sketch
    sketch

    sketch


  4. Identify and Name

    1. Relevant Theories and Equations
      Arrhenius Equation:
      The higher the temperature, the faster the reaction rate.

      Rate Law:
      Mole Balances:

    2. Systems

      Volume of CSTR
      Volume of PFR

    3. Dependent and Independent Variables

      Independent: V, FA0, T
      Dependent: X

    4. Knowns and Unknowns

      Knowns: k0, E, V, n0, CA0B, CB0B
      Unknowns: X

    5. Inputs and Outputs

      In: FA0 = FB0, so QB = 1
      Out: FA = FA0(1-X), FB = FA0(1-X), FC = FA0X

    6. What color should we paint the reactor?

      Not an issue.


  5. Assumptions

    Isothermal, no pressure drop. The CSTR is well mixed. There are no radial variations in the PFR.


  6. Specifications

    There is neither too much redundant information, nor is there too little information given. Therefore, the problem is neither over-specified, nor under-specified.


  7. Similar or Related Example Problems

    This problem has a solution procedure in common with Examples 4-2 and 4-4 in the text.


  8. Algorithm

    CSTRPFR

    1. Mole Balance

    2. Rate Law

    3. Stoichiometry - liquid, v = vo; equal molar \ QB = 1

      CA = CA0(1-X)

      CB = CA0(1-X)

    4. Combine

      (eqn 1)


      (eqn 2)

    5. Evaluate
            v A0 = 5 dm3/min
      Before mixing
            CA0B = 2 mol/dm3
            FA0 = CA0B* vA0
            FA0 = (5 dm3/min)(2 mol/dm3) = 10 mol/min
      After mixing
            v0 = vA0 + vB0 = 5 dm3/min + 5 dm3/min = 10 dm3/min
           CA0 = 1 mol/dm3
           
       at 350 K,
      k = 8.447 dm3/mol-min

  9. Manipulate

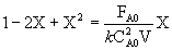
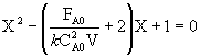
    1. CSTR @ 350 K

      the combined CSTR equation (eqn 1) can be arranged as





    2. PFR @ 300 K



    Choose the CSTR, because it gives the highest conversion.


  10. Units Check

    X is dimensionless


  11. Is it reasonable?

    This is a reasonable conversion.


This the end of the PFR/CSTR example. A sample registration exam problem is also available.


Back to Chemical Reaction Engineering Examples


CRE > Thoughts > Closed-Ended > Algorithm > CRE Examples > PFR/CSTR