Chapter 3: Rate Laws
Collision Theory
The Polyani Equation
| (A) | ||
| Rearranging | ||
| (B) | ||
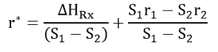
| Solving for r* | ||
| (C) | ||
| Recalling Eqn. (43) | ||
| (43) | ||
| Substituting Eqn. (C) for r* in Eqn. (43) | ||
![]() |
(E) | |
| Rearranging | ||
![]() |
(F) | |
![]() |
(G) | |
| Finally, collecting terms we have | ||
![]() |
(H) | |
| Note: S1 is positive, S2is negative, and r2 > r1; therefore Ea*is positive as is γP | ||
Return to Collision Theory



