Chapter 1: Mole Balances
What You Have Learned?
1. The rate lawSolution2. The rate of formation of species A is per unit volume is(a.) is a differential equation T F
(b.) relates reaction rate and concentration of reacting species T F
3.(c.) the rate of generation of species A per unit volume T F
At a particular time t, the rate of formation of B in the reaction, rB, is 10 mole/dm3*min. Which of the following are true?
The rate of disappearance of B is -10 moles/dm3*min.
The rate of formation of A is -10 mole/dm3*min.
The rate of disappearance of A is 10 moles/dm3*min.
rA = -10 moles/dm3*min
-rA = 10 moles/dm3*min
-rB = -10 moles/dm3*min
Some of the above
All of the above
None of the above
A will disappear faster if a magician is present
Solutions
1 (a.) FALSEF. The rate law is an algebraic equation relating the rate of reaction with the concentration of the reacting species. Example, for the elementary reactionthe rate law is:
Return to Problem 1
-rA = function (temperature and reacting species concentration), e.g.

If $\Delta$Cp = 0, then

1 (c.) FALSE It's also valid in Canada and the northern Provinces
rA=moles of A formed, per unit time, per unit volume
[rA]~[mol/dm3 s]
2 (b.) FALSE (Pages 3 and 5 of Text)
-rA is the rate of disappearance of A, [mol/dm3 s]
rate of formation=rate of generation
r'A is the rate of disappearance of A per mass of catalyst, i.e. grams of catalyst [mol/kg cat s]
The Toronto Maple Leafs Hockey Team has little use for rate of formation of species A.
At a particular time t, the rate of formation of B in the reaction, rB, is 10 mole/dm3*min. Which of the following are true?
The rate of disappearance of B is -10 moles/dm3*min.
The rate of formation of A is -10 mole/dm3*min.
The rate of disappearance of A is 10 moles/dm3*min.
rA = -10 moles/dm3*min
-rA = 10 moles/dm3*min
-rB = -10 moles/dm3*min
Some of the above
All of the above
None of the above
A will disappear faster if a magician is present
Solution
h. (all are true)
Explanation
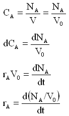
Consider a constant volume (V = V0) batch system

Equivalently


At t = 0 then CA = 10.1 mol/dm3. A moment later at t = 0.01 sec then CA = 10.0 mol/dm3. If dCA/dt were to be positive, the concentration of A would increase with time. However, A is being consumed so the concentration of A is decreasing with time. For small times we use a different formula to find dCA/dt.

The rate of formation of A is

B is being formed

Back to Chapter 1 Summary Notes
Next question