Chapter 1: Mole Balances
PFR Mole Balance Derivation
General Mole Balance on System Volume, V
Steady State
Differentiate with respect to V
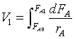
Rearranging and integrating between
V = 0, FA = FA0
V = V1, FA = FA1
We obtain
Multiplying by -1 and switching the limits of integrationThis equation gives the PFR Volume, V1 necessary to reduce the entering molar feed rate from FA0 to the exit molar feed rate FA1 by chemical reaction.




