Chapter 1: Mole Balances
PBR Mole Balance Derivation
General Balance on W
Steady State
Differentiate with respect to W and rearrange
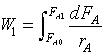
Rearranging and integrating between
W = 0, FA = FA0
W = W1, FA = FA1
We obtain
Multiplying by -1 and switching the limits of integration
The equation gives the catalyst weight necessary to reduce the entering flow rate from FA0 to FA1 by chemical reaction.




