| 
       | 
Type 1 Home Problem- CSTR Design Equation
Problems with straight forward calculations.
To derive the CSTR design equation, we begin with the general mole balance:

Assuming that the tank is well-mixed and the reaction rate is constant throughout the reactor, the mole balance can be written:

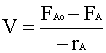
This equation can then be rearranged to find the volume of the CSTR based on the flow rates and the reaction rate:

From the definition of conversion, FA = FAo(1-X) or FAo - FA = FAoX, so the equation can be rewritten:

 Back to the Solution
Back to the Solution
CRE Thoughts Ten Types Homogeneous Example 1