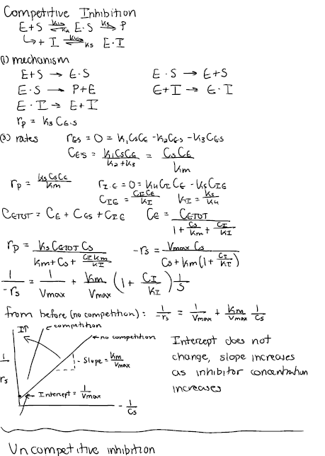
Lecture 15

Go Back