Lecture 12
TODAY’S LECTURE
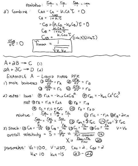
Multiple Reactions
Selectivety and Yield
Series Reactions
Complex Reactions
Go Back