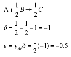
For the gas phase reaction the feed is equal molar in A and B. Calculate e. Solution A is the limiting reactant Stoichiometric Tables
Solution
A is the limiting reactant