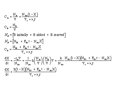
Constant Density:
Semibatch Reactors