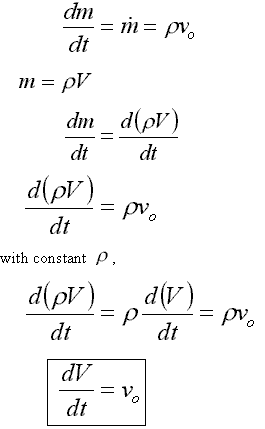
Constant Density:

 

Semibatch Reactors