Rate Laws

Self Test

The following sound of chirping crickets was recorded in the woods during the summer evening. What was the temperature in the woods the evening the crickets were recorded?

Click here to load the recording

(The recording is ten seconds long.)

Hint 1

Hint 2

Solution

 

 

 

 

Hint 1

Review Problem P3-3A on page 114.
Back
Solution

 

 

 

 

 

 

Hint 2

Make an appropriate plot of the cricket data. (P3-3A)
Back
Solution

 

 

 

 

 

 
The following sound of chirping crickets was recorded in the woods during the summer evening. What was the temperature in the woods the evening the crickets were recorded?

Solution

Assume:

Answer=

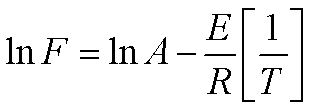
Using data from the chart below (P3-3A), graph ln(chirps/min) vs 1/T.

From the recording, we know that the crickets were chirping 11 times in five seconds, or 132 times per minute. Find this point on the graph and find the corresponding temperature.

 

Back to Rate Laws