Multiple Reactions- Liquid Phase

Self Test

The reactions:

are elementary. Write the net rates of formation for A, B, C and D.

Solution

 

 

 

 

 

 
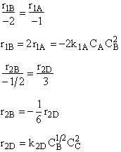
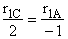
The reactions:

are elementary. Write the net rates of formation for A, B, C and D.

Solution





Back to Multiple Reactions- Liquid Phase