Algorithm for Isothermal Reactor Design

 

PFR and Batch Reactors

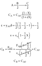
Elementary Gas Phase Reaction:

PFR

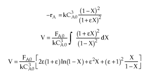
Mole Balance
Rate Law
Stoichiometry gas phase, isothermal (T = T0), no pressure drop (P = P0), CAo=CBo (Q=1), v=vo(1+eX)
Combine
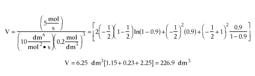
Parameter EvaluationCAo=0.2, v=vo=25 dm3/s, k=10 dm6/mol2 s, e=0.5, X=0.9
V=227 dm3


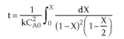
Batch Reactor Constant Volume, v=vo

Mole Balance
Rate Law
Stoichiometry
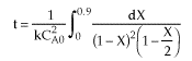
Combine
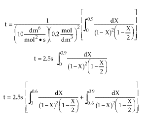
Parameter EvaluationCAo=0.2, k=10 dm6/mol2 s,





Return to Algorithm for Isothermal Reactor Design