Example: Gas Phase Reaction in a PFR
![]()
(1) ![]()
![]()
(2) ![]()
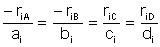
Mole Balances A: ![]()
![]()
![]()
B: ![]()
C: ![]()
D: ![]()
Rate Laws (Rxn i) ![]()
![]()
Species A ![]()
For reaction (2): ![]()
![]()
![]()
Species B ![]()
Species C ![]()
Species D ![]()
Stoichiometry ![]()
Combine ![]()
![]()
![]()
![]()
![]()
Evaluate Using Polymath Parameters ![]()
![]()
![]()
![]()
Initial Conditions ![]()
Use the Polymath ordinary differential equation solver.
For a CSTR:
A: ![]()
B: ![]()
C: ![]()
D: ![]()
Total: FT = FA + FB + FC + FD
Five Equations and Five Unknowns ![]()
![]()
Use the Polymath nonlinear equation solver.