CSTR Algorithm

Self Test

For an adiabatic reaction with and , sketch conversion as a function of temperature.
Solution

 

 

 

 

 

 
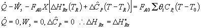
For and adiabatic reaction with and , sketch conversion as a function of temperature.

Solution


Back to CSTR Algorithm