|
Type of Reactor |
Characteristics |
|
Reactor is charged via two holes in the top of the tank; while reaction is carried out, nothing else is put in or taken out until the reaction is done; tank easily heated or cooled by jacket |
Kinds of Phases Present |
Usage |
Advantages |
Disadvantages |
1. Gas phase 2. Liquid phase 3. Liquid Solid |
1. Small scale production 2. Intermediate or one shot production 3. Pharmaceutical 4. Fermentation |
1. High conversion per unit volume for one pass 2. Flexibility of operation-same reactor can produce one product one time and a different product the next 3. Easy to clean |
1. High operating cost 2. Product quality more variable than with continuous operation |
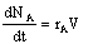
General Mole Balance Equation


Assumptions
1) No inflow or out flow FA0 = FA = 0

2) Well mixed




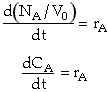
Constant volume V = V0 (e.g. Liquid Phase or Gas Phase in a steel container)

In terms of conversion


The reaction time necessary to reach a conversions X in a batch reactor is

. The following table gives reaction times for first (–rA = kCA) and second (–rA = k
) in a batch reactor


The following table gives the various times necessary to process one complete batch.

Examples:
Batch Reactors with a Gas Reaction