Chapter 15: Diffusion and Reaction in Porous Catalysts

Professional Reference Shelf

Example CD12-9: CVD Boat Reactor

    Silicon is to be deposited on wafers in a LPCVD reactor. We want to obtain an analytical solution for the silicon deposition rate and reactant concentration profile for the simplified version of the LPCVD reactor just discussed. Analytical solutions of this type are important in that an engineer can rapidly gain an understanding of the important parameters and their sensitivities, without making a number of runs on the computer. The reaction that is taking place is  
       
   

image 12eq285.gif

 
       
    Sections of the reactor are shown in Figures CDE12-10.1 and CDE12-10.2.  
       
   

Figure CDE12-10.1

Figure CDE12-10.2

 
       
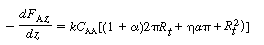
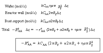
    1. Balances. In forming our shell balance on the annular region we shall assume that there are no radial gradients in the annulus and include the outer tube walls and the boat, which consume some of the reactant by deposition on the walls in the balance. In addition, we shall neglect any dispersion or diffusion in the axial direction. Balance on reactant A:  
       

(CDE12-10.1)
       
    Dividing through bydelta zand taking the limit asarrow0 gives  
       
   

(CDE12-10.2)
     

Mole balance
on the reacting gas

  2. Rate laws. The rate of silicon deposition,image 12eq288.gif(mol/ dm 2middots), is equal to the rate of depletion of SiH 2 .  
       
   

(CD12-101)
       
    where the units of C A and k are mol/dm 3 and dm/s, respectively. Deposition takes place on the reactor walls, the support, and on the wafer surfaces. The corresponding depletion of reactant gas on each of these surfaces is  
       
  image 12eq290.gif









(CDE12-10.3)
       

Radial
concentration
profile

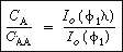
  Concentration profile and effectiveness factor. From Example CD12-2 we derived the radial concentration profile between the wafers as  
       
   

image 12eq291.gif

(CDE12-7.9)
       
    The corresponding effectiveness factor was  
       
   

image 12eq292.gif

(CDE12-9.12)
       
    4. Concentration profile in the annular region. Combining Equations (CDE12-10.2) and (CDE12-10.3) yields  
       
   

image 12eq293.gif

(CDE12-10.4)
       
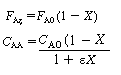
    Writing F Az and C AA in terms of conversion, we have  
       

Axial
concentration
profile

 

image 12eq294.gif

(CDE12-10.5)
    where C A0 and F A0 refer to the reactant concentration and molar flow rates at the entrance to the reactor.  
       
    Combining Equations (CDE12-10.4) and (CDE12-10.5) gives  
       
   

imag e12eq295.gif

(CDE12-10.6)
       
    Collecting terms, we can obtain an expression involving the Damköhler number, Da:  
       
   

imag e12eq296.gif

(CDE12-10.7)
       
   

where

image 12eq297.gif

 
       
    Solving for conversion as a function of distance along the length of the reactor yields  
       
   

image 12eq298.gif

(CDE12-10.8)
       
    or, in terms of concentration,  
       
   

image 12eq299.gif

(CDE12-10.9)
       
    The deposition rate as a function of r and z can now be obtained as follows. The deposition rate at a location r andz.gifis  
       
   

image 12eq300.gif

(CDE12-10.10)
       
    First, using Equation (CDE12-2.9) to relate C A (r, z) and C AA (z), we obtain  
       
   

image 12eq301.gif

 
       
    Next, we use Equation (CDE12-3.9) to determine the rate as a function of distance down the reactor.  
       
   

image 12eq302.gif

(CDE12-10.11)
       
    The thickness,T, of the deposit is obtained by integrating the deposition rate with respect to time,  
       
   

image 12eq303.gif

 
       
    where r is the molar density of the material deposited, g mol/cm 3 .

The 2 accounts for deposition on both sides of the wafer. Integrating, we obtain
 
       
   

image 12eq304.gif

(CDE12-10.12)
       
    The reactant concentration profile and deposition thickness along the length of the reactor are shown schematically in Figure CDE12-10.3 for the case of small values of the Thiele modulus  
       
   

Figure 12-10.3