Chapter 15: Diffusion and Reaction in Porous Catalysts
Professional Reference Shelf
Example CD12-8: Diffusion Between Wafers
| Derive an equation for the reactant gas concentration as a function of wafer radius and then determine the effectiveness factor. | |||
|
|
|||
| In terms of the diffusing gas phase components, we can write this reaction as | |||
|
|
|||
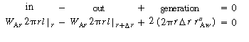
| Solution The shell balance on the reactant diffusing between two wafers separated by a distance l shown in Figure CDE12-9.1 gives |
|||
|
|
|||
where is the rate of generation of species A per unit
wafer surface area. The factor of 2 appears in the generation term because there
are two wafer surfaces exposed in each differential volume element. Dividing by , taking
the limit as approaches zero, and then rearranging gives
|
|||
|
|
(CDE12-9.1) | ||
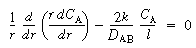
| Recalling the constitutive equation for the molar flux W Ar in radial coordinates yields | |||
|
|
(CDE12-9.2) | ||
|
Diffusion between |
Figure 12-9-1 |
||
| For every one molecule of SiH 2 (i.e., species A) that diffuses in, one molecule of H 2 (i.e., species B) diffuses out. | |||
|
|
|||
| Then | |||
|
|
(CDE12-9.3) | ||
| For a first-order reaction, | |||
|
|
(CD12-101) | ||
| Substituting Equations (CD12-20) and (CDE12-2.3) into Equation (CDE12-2.1), we get | |||
|
Diffusion with |
|
(CDE12-9.4) | |
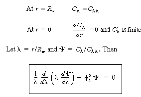
| The corresponding boundary conditions are | |||
|
|
(CDE12-9.5) (CDE12-9.6) (CDE12-9.7) |
||
where The boundary conditions are
|
|||
|
|
|||
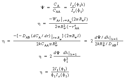
| Equation (CDE12-9.2) is a form of Bessel's equation. The general form of the solution to Bessel's equation is 28 | |||
|
|
(CDE12-9.8) | ||
where o
is a modified Bessel function of the first
kind of order zero and K o is a modified Bessel function of the
second kind of order zero. The second boundary condition requires to be finite at = 0. Therefore, B must be
zero because K o (0)
= .
Using the first boundary condition, we get ; then . The concentration profile in the space between
the wafers is
|
|||
|
|
(CDE12-9.9) (CDE12-8.10) (CDE12-9.11) (CDE12-9.12) |
||
| The concentration profile along the radius of the wafer disk and the wafer shape are shown in Figure CDE12-9.2 for different values of the Thiele modulus. | |||
Figure CD12-9-2 |
|||
is the rate of generation of species A per unit
wafer surface area. The factor of 2 appears in the generation term because there
are two wafer surfaces exposed in each differential volume element. Dividing by
, taking
the limit as
approaches zero, and then rearranging gives
The boundary conditions are
o
is a modified Bessel function of the first
kind of order zero and K o is a modified Bessel function of the
second kind of order zero. The second boundary condition requires
to be finite at
= 0. Therefore, B must be
zero because K o (0)
=
.
Using the first boundary condition, we get
; then
. The concentration profile in the space between
the wafers is