Chapter 11: Nonisothermal Reactor Design: The Steady State Energy Balance and Adiabatic PFR Applications
Sketch XEB versus T
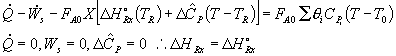
For an adiabatic reaction with
and
, sketch the conversion, XEB as a
function of temperature for:
a. an exothermic reaction

Hint 1: What is the adiabatic energy balance?
b. an endothermic reaction

c. give XMB=f(T) using the combined mole balance,
rate law, and stoichiometry for a first order irreversible
reaction ![]()

i.e. show how to locate the steady state conversion and
temperature
|
|
Hint 1
Energy Balance to Determine XEB=f(T)
For and adiabatic reaction with
and
, sketch conversion as
a function of temperature.
Solution: Part A
Energy Balance to Determine XEB=f(T)
For an exothermic reaction,ΔHRX is negative,[
e.g., ΔHRX= -100 kJ/mole A]. Therefore,
[-ΔHRX] is a positive number.
X increases with increasing T.
Solution: Part B
For an endothermic reaction, ΔHRX is
positive (+), XEB increases with decreasing T. [e.g.
ΔHRX=100 kJ/mol A] And therefore
[-ΔHRX] is a negative number.

Solution: Part C
Mole Balance to Determine XMB=f(T)
For a first order reaction
![]()
rearranging...


At the intersection of XMB vs. T and XEB vs.
T both the mole balance and the energy balances are
satisfied. The steady-state conditions
(XSS,TSS) occur here.
Endothermic Reaction Exothermic Reaction
Both the mole and energy balances are satisfied when XMB=XEB. The steady state temperature and conversion are TSSand XSS respectively for an entering temperature TO.